Hopp til hovedinnhold
Dette er en TEST-versjon av Varsom. For oppdaterte varsler besøk https://www.varsom.no

Smelting nedenifra

På stille partier får et tynt vannlag ligge i ro oppunder isen med temperatur på frysepunktet (0 °C), så isen smelter svært lite nedenifra. Når vann derimot beveger seg under isen blandes vannmassene oppunder isen, og det tynne beskyttende vannlaget brytes ned.

Dersom noe av vannmassene som blandes har temperatur over frysepunktet, vil også hele blandingen ha temperatur over frysepunktet (se fotnote). Is vil da smelte på undersiden der blandingsvannet strømmer. Smeltingen øker selvsagt når vanntemperaturen øker, men den øker også med hastigheten på vannet under isen.

Typisk har man «varmt» vann i bevegelse ved innløpet i en innsjø, enten når innløpstemperaturen er over frysepunktet, eller når innløpsvannet blandes med underliggende varmere innsjøvann. I trange sund øker vannstrømmen og dra med seg varmere underliggende vann som blandes i det trangeste partiet. En må altså finne ut hvor vannet kan bevege seg under isen, og hvor mye vann som er i bevegelse. Disse områdene bør man unngå.

Innløp

Fra et kart kan en se hvor innløpene er, og en kan se hvor stort nedbørfelt som drenerer til de enkelte innløpene. Stort nedbørfelt betyr at det renner mye vann i elva og det er farligere is. Ved utløp av store elver kan det være farlig is flere hundre meter inn på vannet. Dersom elva kommer fra store innsjøer betyr det varmere vann enn uten innsjøer, særlig i første halvdel av vinteren, men er avstanden stor vil virkningen av innsjøen være mindre. Store elver bevarer varmen over mange kilometer.

Når isen legger seg på en innsjø har elvevannet som regel blitt avkjølt til frysepunktet. Tidlig på vinteren vil det ennå være varmt vann noen meter ned i innsjøen. Dersom innløpet blir brått dypt vil elvevannet flyte ut over det varmere bunnvannet i innsjøen. Da skjer det en blanding slik at overflatevannet også blir varmere enn frysepunktet og is smelter. Er elveinnløpet først en grunn elvevifte, og deretter brådypt, finner vi den farligste isen ved kanten av elveviften hvor det varme bunnvannet er. I selve elveviften blir vanntemperaturen som i elva, som oftest ved frysepunktet om vinteren. En kan altså oppleve at det farlige området er langt ute fra land, og svært vanskelig å oppdage. Det kan man ikke avsløre annet enn fra dybdekart eller prat med lokalkjente. Hold derfor alltid god avstand til innløp. Problemet er størst tidlig på vinteren. Minst farlige forhold får man når elveinnløpet bare blir sakte dypere, og har god spredning i bredden.

Ved kraftreguleringer er det ofte bygd vannoverføringer som påvirker isforholdene. Der slike kommer fra dypet av en innsjø til en annen innsjø vil isen være svekket i et stort område ved utløpet. Slike overføringer er ikke alltid synlige på kart. Du finner informasjon om slike svekkete områder i iskart.no som er beskrevet i kapittelet om «Forberedelser».

Industriutslipp

På samme måte som ved reguleringer er det umulig å se utslippspunkter fra industrien på et kart. Kjølevann fra industri slippes noen steder ut som varmt vann i vassdragene, men problemet er ikke utbredt i Norge.

Utløp

Ved utløpet av en innsjø er det også et område med dårlig is, men normalt er det et mye mindre område enn ved innløpet. Det er oftest en brå overgang fra god til dårlig is. Ved små elver kan det til og med være god is helt inn til det åpne utløpet. Hold likevel avstand til utløpet, for ved bunnforhold som gir sterk vannstrøm kan det være usikkert et stykke inn på vannet. Ved mildvær og vannføringsøkning vil man få smelting fra undersiden av isen nær utløpsråken, og da risikerer man å gå gjennom selv et stykke fra iskanten.

På samme måte som ved innløp kan overføringer til kraftverk gi farlig is der vannet tas ut av en innsjø gjennom en overføringstunnel.

Gjennomstrømning - Trange og grunne partier

Alt vann som renner inn i en innsjø vil bevege seg mot utløpet. Fra kart kan du se hvor vannstrømmen må gå, og hvor den største vannstrømmen er. Har innsjøen to bassenger som er knyttet sammen med en trang passasje, må alt vannet som renner inn i det øverste bassenget passere gjennom dette sundet på vei mot utløpet. Vannhastigheten øker, og varmere bunnvann kan rives med og øke vanntemperaturen slik at isveksten går seinere. Strømmer det mye vann gjennom et trangt sund må du anta at isen kan være dårlig der, særlig kort tid etter at sundet isla seg og om våren når snøsmeltingen starter. Hvor trangt sundet må være for å gi dårlig is avhenger både av vannføringen og dybden. Her må man bygge seg erfaring, men vær oppmerksom i sund allerede ved 100 m bredde i mellomstore vassdrag, og under 50 m bredde i små vassdrag. Et grunt sund er klart farligst for isen, men dybden ser man ikke fra vanlige kart.

Metangass fra innsjøbunnen

Noen innsjøer har store mengder tildekket organisk materiale på innsjøbunnen som råtner og produserer metangass. Ofte er dette innsjøer hvor tømmer har blitt lagret i tømmerfløtingstiden. Når gassen slipper ut dannes det gassbobler som driver mot overflaten. Når isen har lagt seg vil gassboblen flattrykkes og legge seg som et isolerende lag under isen. Det må da sterk kulde til for å få ny islegging under gassboblen. I et område med mye gass ser man ofte flere lommer med gass over hverandre innefrosset i isen. Bæreevnen blir da svekket.

Som regel er det svekkete området mindre enn en halv meter i diameter, men større områder er observert. På dypt vann kan man forvente at gassboblen sprer seg og ender opp forskjellige steder under isen. Da blir svekkingen mindre. Er det bare noen meter dypt under isen kan man forvente at gassboblene er mer konsentrert på et område og man kan se alvorlige svekkinger. Faren er størst når isen er tynn ellers i området, da den kan være under bæregrensen i gassområdet. Størst risiko for å tråkke gjennom er det når man går til fots. En skøyteløper har fart, og vil mest sannsynlig snuble. En skiløper eller kiter vil gli over uten problemer.

Metangassen er eksplosiv. I mørke kvelder er det mange som morer seg med å slå hull i isen og fyre på gassen med en fakkel. Flammen kan stå flere meter til værs, så brannskader er en reell fare.

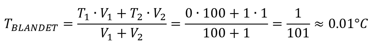
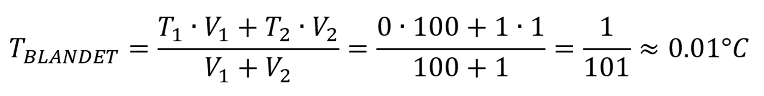
Blanding av to vannmasser

Dersom man blander 100 liter vann med temperatur på frysepunktet (0 °C) med 1 liter vann med 1 °C, vil de samlete 101 liter med blandete vannmasser ha en temperatur på nær 0,01 °C, altså over frysepunktet. Da vi ikke har negative vanntemperaturer i en innsjø vil alltid blandet vann ha en vanntemperatur over frysepunktet dersom noe av de innblandete vannmassene har en temperatur over frysepunktet. Selv små positive temperaturer vil føre til smelting av is på undersiden.